合作客戶/
拜耳公司 |
同濟大學 |
聯合大學 |
美國保潔 |
美國強生 |
瑞士羅氏 |
相關新聞Info
-
> 仲醇聚氧乙烯醚硫酸鹽平衡和動態表面張力及應用性能研究(三)
> 納米沸石咪唑酯骨架ZIF-8顆粒的油水界面張力和接觸角測定及巖心驅替實驗——摘要、材料與方法
> 棕櫚酸酯淀粉糊液理化性質及替代洗衣粉配方中的LAS去污系數研究(一)
> 酚胺樹脂聚醚型破乳劑分子結構、濃度對油-水界面張力的影響——結果與討論、結論
> 固體、鹽溶液表面張力測量及與其在潔凈硅橡膠表面接觸角的關系研究(二)
> 什么是超微量天平,超微量天平使用方法、最小稱量值
> Sb合金元素對鋅液與X80鋼表面張力、潤濕性及界面反應的影響——實驗
> 海上抗超高溫低滲透儲層鉆開液配方設計及應用效果(二)
> 溫度及壓強對CO2-NaCl鹽水系統界面張力的影響(三)
> 超微量天平應用案例:鉛試金富集稱量法測定含銅物料中金和銀含量
推薦新聞Info
-
> 表面張力在封閉腔體自然對流換熱中的角色深度分析
> 鉑金板法測定不同濃度、溫度、表面活性劑對氨水表面張力值(二)
> 鉑金板法測定不同濃度、溫度、表面活性劑對氨水表面張力值(一)
> 單萜萜類驅油劑界面張力、配伍性、降黏效果及破乳效果測試與篩選(三)
> 單萜萜類驅油劑界面張力、配伍性、降黏效果及破乳效果測試與篩選(二)
> 單萜萜類驅油劑界面張力、配伍性、降黏效果及破乳效果測試與篩選(一)
> 紫檀芪的穩定性增強型抗氧化劑制作備方及界面張力測試——結果與討論、結論
> 紫檀芪的穩定性增強型抗氧化劑制作備方及界面張力測試—— 引言、材料與方法
> 香豆素取代二乙炔LB膜的組裝、聚合及螺旋結構形成機制(下)
> 香豆素取代二乙炔LB膜的組裝、聚合及螺旋結構形成機制(中)
浮選藥劑的性能、組合用藥機理及協同效應的影響因素(一)
來源:金屬礦山 瀏覽 1127 次 發布時間:2025-02-05
同類性質藥劑的組合使用稱為組合用藥,或稱為混合用藥、聯合用藥、配合用藥等。組合藥劑在浮選作業和溶劑萃取中均有廣泛使用。組合藥劑的重要特性是協同效應,但即使是研究起步較早的萃取劑,由于協同效應的機理復雜、影響因素較多,人們的認識也未達到令人滿意的程度。
見諸報導的關于組合用藥機理的研究較少,朱建光等在研究錫石和黑鎢礦的選礦時發現,先加入強捕收劑或同時加入2種捕收劑均能產生正協同效應,若先加入弱捕收劑后加入強捕收劑則往往產生負協同效應或無協同效應,并證明可利用“協同效應最佳點”的方法指導混合用藥。本研究應用浮選藥劑理論和表面活性劑的物理化學性質,通過理論計算和已有的浮選試驗數據,探索組合藥劑的協同效應,進而歸納總結協同效應的內在影響因素。
1浮選藥劑的性能
影響浮選藥劑性能的因素可分為價鍵因素、親水-疏水因素和分子空間幾何因素。隨著浮選理論研究的進展,藥劑結構性能判據也相繼提出。藥劑與礦物作用的“溶度積假說”是較早研究藥劑結構性能的學說;此后,王淀佐院士用藥劑基團電負性理論研究了藥劑性能,并提出了藥劑親水-疏水平衡關系式;陳建華提出了藥劑親固能的電負性計算公式;林強提出了浮選藥劑的活性-選擇性原理。隨著量子化學研究的進展,人們開始用量子化學參數、能量判據研究藥劑性能。總之,人們對浮選藥劑結構性能的研究水平已能夠較清晰地比較不同浮選藥劑的選擇性和捕收性,這為組合藥劑協同效應的定量研究提供了基礎。
浮選藥劑性能還和表面物理化學性質有關,某些表面活性劑雖然沒有明顯的浮選性能,但加入浮選體系后卻可大大優化浮選指標。此外,還有一些藥劑,如十二烷基磺酸鈉和十二烷基苯磺酸鈉,既有浮選性能又有乳化性能。因此,研究這些表面活性劑的物理化學性質對研究藥劑的協同效應也有重要意義。使溶液表面張力降低是表面活性劑的重要標志。溶液表面張力降低的程度可作為表面活性劑活性大小的量度。對大量試驗結果的分析、歸納表明,表面張力可通過臨界膠團濃度CMC和表面活性劑達到臨界膠團濃度時的表面張力γCMC表征。
2同系列浮選藥劑組合使用的協同效應
羧酸類捕收劑是氧化礦浮選最常用的捕收劑之一。本研究以羧酸類捕收劑為研究對象,探索同系列浮選藥劑組合使用時的規律。
2.1油酸與不同碳鏈長度的羧酸類捕收劑組合
月桂酸、肉豆蔻酸、棕櫚酸、硬脂酸和油酸的碳鏈長度分別是12、14、16、18和18。白鎢礦的浮選試驗表明,前4種藥劑分別與油酸組合使用時,油酸和月桂酸組合使用的效果最好。為研究碳鏈長度對藥劑價鍵特征的影響,用Gaussian軟件計算了不同碳鏈長度的羧酸類捕收劑的前線軌道能級和氧原子的凈電荷,結果如表1所示。
表1不同碳鏈長度的羧酸氧原子凈電荷及軌道能級
由表1可知,藥劑的前線軌道能級和凈電荷幾乎不受碳原子數目變化的影響,即碳鏈長度對藥劑價鍵特性的影響可忽略不計,因此,浮選性能的差異主要與親水-疏水因素有關。
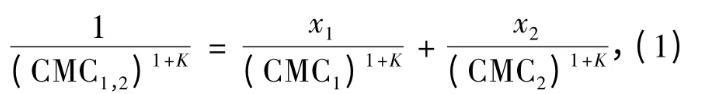
同系列表面活性劑混合后的臨界膠團濃度(CMC1,2)可由下式計算:
式中,K為常數;x1、x2分別是代號為1、2的表面活性劑在兩者組成的混合物中的摩爾分數,計算時代入小數;CMC1為組分1的臨界膠團濃度,mol/L;CMC2為組分2的臨界膠團濃度,mol/L;CMC1,2為混合組分的臨界膠團濃度,mol/L。
設CMC1<CMC2,則CMC1<CMC1,2<CMC2。
進一步的研究表明,藥劑組合后溶液的表面張力(γCMC)大小也介于各組分單獨使用時的溶液表面張力之間。從表面活性劑的CMC值和γCMC來看,組合藥劑等同于某一碳鏈長度的特定羧酸類捕收劑,該碳鏈長度在最大碳鏈長度和最小碳鏈長度之間。浮選藥劑的選擇性與碳鏈長度密切相關,碳鏈越長,藥劑捕收性越強,選擇性越低。但是碳鏈越長,藥劑溶解性越差;碳鏈太短,則藥劑疏水性不足,將失去捕收性。因此,藥劑碳鏈長度有一定范圍。
浮選試驗和理論計算表明,碳原子數目超過10的羧酸類捕收劑,碳鏈長度幾乎不影響藥劑的價鍵特性,碳鏈長度相差越大,藥劑的選擇性和捕收性差別也越明顯,協同效應也較明顯。
2.2油酸與不同飽和度的羧酸類捕收劑組合
硬脂酸、油酸、亞麻酸和亞油酸同為18個碳的脂肪酸,飽和度依次下降。白鎢礦浮選試驗表明,油酸與亞麻酸組合使用的效果最好,且油酸與月桂酸組合使用的浮選指標不如油酸與亞麻酸組合使用的浮選指標。用Gaussian軟件分別計算上述4種藥劑的前線軌道能級和氧原子的凈電荷,結果如表2所示。
表2不同飽和度的羧酸的氧原子凈電荷及軌道能級
由表2可知,對于18個碳鏈的脂肪酸,碳鏈不飽和度對藥劑的價鍵特性影響明顯。碳鏈的不飽和度對分子最高已占軌道能級和最低未占軌道能級均有明顯影響,但不影響氧原子的凈電荷。
與其余3種藥劑相比,硬脂酸飽和度最高,溶解性最差,不利于藥劑的選擇性和捕收性,因此,硬脂酸與其余3種藥劑組合使用的協同效應不好。油酸、亞麻酸和亞油酸這3種藥劑中,油酸與亞麻酸的前線軌道能級差別最大,疏水性差別最大,此外,亞麻酸的溶解性最好。
浮選試驗和理論計算表明,碳原子數目為18的羧酸類捕收劑,不飽和度相差越大的藥劑組合使用時,其協同效應越好。改變碳鏈長度,僅能改變藥劑的疏水性和表面活性,而藥劑價鍵特性變化不明顯;改變藥劑的飽和度,可同時改變藥劑的價鍵特性、疏水性以及表面活性。因而,不同飽和度藥劑之間的捕收性和選擇性的差異比不同碳鏈長度藥劑之間的捕收性和選擇性差異大,這可能是油酸與亞麻酸組合比油酸與月桂酸組合浮選效果好的原因。





