合作客戶/
拜耳公司 |
同濟大學 |
聯合大學 |
美國保潔 |
美國強生 |
瑞士羅氏 |
相關新聞Info
-
> 仲醇聚氧乙烯醚硫酸鹽平衡和動態表面張力及應用性能研究(三)
> 納米沸石咪唑酯骨架ZIF-8顆粒的油水界面張力和接觸角測定及巖心驅替實驗——摘要、材料與方法
> 棕櫚酸酯淀粉糊液理化性質及替代洗衣粉配方中的LAS去污系數研究(一)
> 酚胺樹脂聚醚型破乳劑分子結構、濃度對油-水界面張力的影響——結果與討論、結論
> 固體、鹽溶液表面張力測量及與其在潔凈硅橡膠表面接觸角的關系研究(二)
> 什么是超微量天平,超微量天平使用方法、最小稱量值
> Sb合金元素對鋅液與X80鋼表面張力、潤濕性及界面反應的影響——實驗
> 海上抗超高溫低滲透儲層鉆開液配方設計及應用效果(二)
> 溫度及壓強對CO2-NaCl鹽水系統界面張力的影響(三)
> 超微量天平應用案例:鉛試金富集稱量法測定含銅物料中金和銀含量
推薦新聞Info
-
> 表面張力在封閉腔體自然對流換熱中的角色深度分析
> 鉑金板法測定不同濃度、溫度、表面活性劑對氨水表面張力值(二)
> 鉑金板法測定不同濃度、溫度、表面活性劑對氨水表面張力值(一)
> 單萜萜類驅油劑界面張力、配伍性、降黏效果及破乳效果測試與篩選(三)
> 單萜萜類驅油劑界面張力、配伍性、降黏效果及破乳效果測試與篩選(二)
> 單萜萜類驅油劑界面張力、配伍性、降黏效果及破乳效果測試與篩選(一)
> 紫檀芪的穩定性增強型抗氧化劑制作備方及界面張力測試——結果與討論、結論
> 紫檀芪的穩定性增強型抗氧化劑制作備方及界面張力測試—— 引言、材料與方法
> 香豆素取代二乙炔LB膜的組裝、聚合及螺旋結構形成機制(下)
> 香豆素取代二乙炔LB膜的組裝、聚合及螺旋結構形成機制(中)
平面流動皂膜表面張力系數、厚度和流動速度實驗裝置及測量方法(二)
來源:實驗流體力學 瀏覽 803 次 發布時間:2025-04-23
2皂膜表面張力系數測量
由于皂膜厚度很小,其表面張力系數不能簡單采用對半無限深液體表面張力系數分析的結果。Sane等通過皂膜的力平衡分析得到一種測量皂膜表面張力系數的簡便方法,但在推導中多處采用了近似方法。本文給出一個嚴格推導,得出確切結論,并通過后文介紹的平面流動皂膜測量結果對該結論進行檢驗,證明推導的正確性;在此基礎上,計算皂膜的表面張力系數。
如圖1(a)所示,尼龍繩BE和CD下方懸掛質量為m的砝碼以施加張力、保持流道穩定。當沒有皂液流動時,尼龍線BE和CD在砝碼作用下保持鉛直;當皂液流入流道形成皂膜,尼龍繩BE和CD在皂膜表面張力的作用下向皂膜側略微收縮,形成微微內凹的流道(圖中對內凹程度有所放大)。從力平衡的角度出發,推導出該內凹曲線的形狀與皂膜表面張力系數的關系,可以給出一種測量流動皂膜表面張力系數的方法。
選取尼龍繩BE的中點O為坐標系原點,x軸為重力方向。設A為尼龍繩OB段上任一點,坐標為(xA,yA),對尼龍繩段OA進行受力分析。簡單的受力大小估計表明:當皂膜流向方向的尺寸在1 m量級、砝碼自重在1 kg量級時,尼龍繩自重、流動皂膜對尼龍繩的動壓力、黏性力等都至多為尼龍繩張力的1/104,在后續分析中忽略它們對尼龍繩力平衡的影響。因此,尼龍繩受到點O、點A的拉力FO、FA以及尼龍繩上各微元段ds=dx/cosθ(x)的表面張力,其中,θ(x)表示尼龍繩上一點x處切向方向與重力方向的夾角。由于對稱性,在中點O處θ(0)=0。因此,尼龍繩段OA在水平和豎直方向的受力平衡關系式分別為:
在推導式(1)和(2)時,假設皂膜邊界上的表面張力系數γ不隨位置而變化(對于充分發展達到穩定流動的皂膜,此假設是合理的);式中的系數“2”是考慮到皂膜前后表面都會對尼龍繩產生表面張力。
將式(1)和(2)相除,并注意到點A的任意性,可以得到描述流道內凹形狀的曲線方程:
對式(3)積分,并結合邊界條件y(x=0)=0,得到曲線方程如下:
式(4)中包含未知參數FO(即尼龍繩中點O處的拉力),其值可以通過將式(2)應用于B點,并代入B點處尼龍繩的力平衡關系FBcosθ(xB)=mg/2得到:
式中,L為BE段尼龍繩長度,推導式(5)時使用了xB=L/2。式(4)可稍加整理為:
其中,參數2γL/FO的值為:
式(6)和(7)即為邊界曲線形狀的準確方程。在推導方程的過程中,除物理上的簡單假設(如忽略尼龍繩自重)外,未作任何數學上的近似。
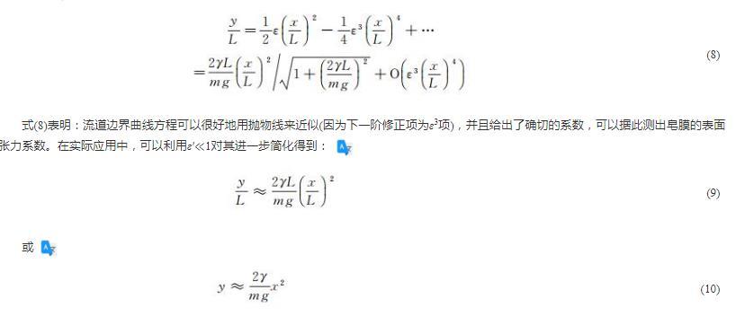
與懸掛物(砝碼)的重力相比,表面張力通常很小。例如,當L=1 m、m=1 kg時,取純水的表面張力系數γ=72 mN/m,得到2γL/(mg)≈1.5×10-2,代入式(7)得到2γL/FO≈3.0×10-2。記ε=2γL/FO,ε′=2γL/(mg),則ε和ε′為同階遠小于1的小量。因此,對式(6)關于ε進行小參數展開可得:
式(8)表明:流道邊界曲線方程可以很好地用拋物線來近似(因為下一階修正項為ε3項),并且給出了確切的系數,可以據此測出皂膜的表面張力系數。在實際應用中,可以利用ε′?1對其進一步簡化得到:
為驗證曲線方程(10),在砝碼質量m=0.2 kg、皂液流量Q=35 mL/min時,實測了穩態流動皂膜狀態下尼龍繩的位置坐標,如圖2中的離散點所示。尼龍繩位置通過照相得到,為獲得較大范圍內的圖像,采用的放大倍數為1個像素對應0.35 mm的物理尺寸。對尼龍繩圖像在水平方向的光強分布進行高斯函數擬合以獲得亞像素的定位精度。圖2中的光滑曲線是采用式(10)進行擬合的結果,與實測曲線吻合良好,驗證了分析的正確性。利用已知的砝碼質量,可以進一步得到表面張力系數γ=27.5 mN/m。值得注意的是:當砝碼質量很小時,表面張力引起的流道收縮很大(在中點O處達到最大值12%),為避免由此帶來的流速和厚度場改變,在流動皂膜實驗中一般使用m=2 kg的砝碼。
圖2流道邊界實測值(紅色點)與理論分析(藍色線)對比
Sane等推導了表面張力系數與尼龍繩曲線方程的關系,但并未獲得曲線方程的精確解,而是采用高階多項式對實測曲線進行擬合,發現選取二階多項式可以得到較好的結果,從而也獲得了式(10),并通過擬合系數得到了表面張力系數。本文的嚴格推導說明:流道邊界曲線是拋物線加上高兩階小量的修正。圖(2)也證明了這一推導結論的正確性。
采用測量邊界曲線形狀的方式來獲得表面張力系數,在實驗上存在一處困難:通常邊界曲線曲率較小,為測出其具體形狀必須拍攝較大范圍;對于幅面大小一定的相機,這意味著空間分辨率的降低,給準確確定邊界曲線帶來了一定困難。因此,本文提出一種新的、更簡便易行的表面張力系數測量方法。
根據式(10),可以給出流道中點O在有皂膜流動時相對于無皂膜流動時(即尼龍繩為豎直狀態時)的位移:
因此,通過測量給定砝碼質量下流道中點O的位移,就可以很方便地使用式(11)得到皂膜的表面張力系數。此方法的一個優點是:無需拍攝大范圍的尼龍繩圖像,照相時可以采用較大的放大倍數,獲得較高的空間分辨率。在實際應用時,本文采用了每像素對應0.01 mm物理尺寸的分辨率。根據式(11),γ≈2mgyO/L2,砝碼質量m=(500±1)g和尼龍繩長度L=(500±1)mm的測量都可以控制在0.2%的測量偏差范圍內。當yO=(1±0.01)mm的測量偏差范圍降低至1%,實現了僅有2%左右不確定度的表面張力系數測量。
圖3給出了在同一皂液流量Q=35 mL/min下測得的流道中點O的位移隨砝碼質量的變化以及根據式(11)擬合的直線。所有數據點都很好地落在過原點的擬合直線上,進一步驗證了本文推導的正確性。根據直線斜率測得的表面張力系數γ=27.1 mN/m,與前述拋物線擬合法得到的結果相近。
圖3流道中點O在有/無皂膜流動時的位移量隨砝碼質量的變化
利用這一方法,還測量了表面張力系數隨皂液流量的變化關系,如圖4所示。圖中曲線并非如部分文獻報道的“表面張力系數隨皂液流量增加而單調下降”,這可能是由于表面張力系數隨皂膜厚度變化而有所變化、且實驗中皂膜厚度并非均勻分布導致的。
圖4表面張力系數隨皂液流量的變化
3、結論
本文搭建了一個重力驅動的平面流動皂膜實驗裝置,能夠得到皂液流量Q=5~60 mL/min、平均速度u=1~4 m/s、平均厚度h=3~9μm的穩定豎直流動的皂膜。為測量皂膜的表面張力系數,基于皂膜邊界上的力平衡方程推導得到流動皂膜邊界曲線方程的精確解。實驗結果驗證了本文推導,并由此得出表面張力系數的兩種測量方法。此外,還提出了一種基于光學干涉的皂膜厚度測量方法。將該方法與皂膜流動速度剖面測量相結合,可以給出皂膜的厚度剖面。本文中提出的皂膜表面張力系數及厚度的測量方法簡便易行,可以較為全面地測量平面流動皂膜并評估其特性(如擾動波在皂膜中的傳播速度)。





