合作客戶/
拜耳公司 |
同濟大學 |
聯合大學 |
美國保潔 |
美國強生 |
瑞士羅氏 |
相關新聞Info
-
> 微流控器件結構對水/水微囊形成過程、界面張力的影響規律(二)
> 去乙酰化槐糖脂生物表面活性劑的結構鑒定、理化性質及應用(三)
> 臨界表面張力、噴霧距離等對成熟期煙草農藥霧滴附著關鍵指標的影響——結果與討論、結論
> 2022年中國表面活性劑行業全景產業鏈、重點企業經營情況及發展趨勢
> 無機鹽對油/水界面張力及對油滴鋪展的影響規律
> 基于陰離子?非離子型表面活性劑復配最佳強化潤濕高效驅油體系——實驗部分
> 表面活性劑是否對斥水性土壤的潤濕性有影響?——結果和討論
> 改性環氧樹脂乳液型碳纖維上漿劑制備、表面張力、黏度等性能測試(三)
> 界面張力儀評估氨基化氧化石墨烯-脂肪酸共吸附機制、應用潛力(二)
> 兩種烷基咪唑亞磷酸酯離子液體熱穩定性、表面張力測定(一)
推薦新聞Info
-
> 表面張力在封閉腔體自然對流換熱中的角色深度分析
> 鉑金板法測定不同濃度、溫度、表面活性劑對氨水表面張力值(二)
> 鉑金板法測定不同濃度、溫度、表面活性劑對氨水表面張力值(一)
> 單萜萜類驅油劑界面張力、配伍性、降黏效果及破乳效果測試與篩選(三)
> 單萜萜類驅油劑界面張力、配伍性、降黏效果及破乳效果測試與篩選(二)
> 單萜萜類驅油劑界面張力、配伍性、降黏效果及破乳效果測試與篩選(一)
> 紫檀芪的穩定性增強型抗氧化劑制作備方及界面張力測試——結果與討論、結論
> 紫檀芪的穩定性增強型抗氧化劑制作備方及界面張力測試—— 引言、材料與方法
> 香豆素取代二乙炔LB膜的組裝、聚合及螺旋結構形成機制(下)
> 香豆素取代二乙炔LB膜的組裝、聚合及螺旋結構形成機制(中)
熱毛細效應引起的表面張力梯度導致傾斜壁面上液膜干斑的出現(二)
來源:化工進展 瀏覽 658 次 發布時間:2025-06-05
2實驗裝置及方法
2.1實驗裝置
本實驗的實驗裝置,如圖3(a)所示。該裝置主要由液體回路、布液器和實驗段三大部分組成。液體回路用于提供不同的流動條件,以確保布液器能夠穩定形成液膜。在這個回路中,液體從恒溫水箱(Julabo-Vivo RT2)中流出,恒溫水箱提供一個穩定的入口溫度,由齒輪泵(Cole-parmer)控制液體流量大小,液體再流入流量計(Micro motion 2700,精度為±0.05%),流量計監測管道內液體的質量流量,在布液器的入口端放置一個T型熱電偶(精度為±0.5℃)來測量入口溫度的變化,最后使用數據采集器(Keithely 2700)采集流量計的質量流量、熱電偶的溫度和加熱片的功率。本實驗對入口溫度要求較高,所以采用一些保溫措施,在不銹鋼管和布液器腔室周圍包裹一層保溫棉,減少熱量損失。
圖3實驗裝置及測量示意圖
在實驗中,不確定度主要來自功率誤差和熱電偶誤差。電壓和電流的不確定度分別為0.1V和0.1A。
采用式(26)計算功率輸入的熱量不確定度。
加熱片的輸入功率的不確定度計算方法見式(27)、式(28)。
基于相同的計算方法,40W、30W和20W加熱片的熱輸入不確定度分別為±3.2W(±8%)、±3W(±10%)和±2.02W(±10.1%)。
與熱電偶相關的溫度不確定度為0.5℃,Keithely 2700的系統溫度的精度為0.01℃,熱電偶與測量位置之間的溫度誤差為2℃,溫度測量誤差(δT)計算方法見式(29)。
實驗中布液器采用3個腔室,3個腔室被有機玻璃分隔開。第一個腔室被設置為液體從有機玻璃擋板上方溢流入第二個腔室。其中,第二腔室和第三腔室之間的有機玻璃未粘接在基材上形成細縫,液體將從細縫流入下一個腔室。在這兩個腔室中填充海綿,海綿的作用是液體能夠更加均勻地從細縫流出,最終以恒定的流量沿銅板基底表面均勻流動。實驗設置細縫為1mm,最后的擋板厚度為10mm;實驗段采用100mm×50mm銅板為基底,在銅板的底部粘貼相同面積的加熱片,提供均勻的熱源。
2.2液膜厚度測量方法
Hou等基于氣液兩相介質電導率特性不同的原理,將位移千分尺探頭用于氣液界面的檢測。但本實驗采用的液體工質為去離子水、乙二醇和丙二醇,考慮它們在動力黏度上的差異對液膜的流動行為和穩定性具有重要影響,并且探針接觸到液體時沒有電壓輸出信號,只有當探針接觸到銅板時才會形成回路,顯示電壓輸出信號,采用Pixelink攝像機觀測探針與液體接觸,確定了液膜的氣液界面[圖3(c)的紅色線上方],探針接觸到液膜時將會出現毛細現象,探針沿著徑向在液膜中不斷移動,直到探頭剛好接觸到銅板形成回路。因此,液膜的厚度就是探頭前進的相應距離。將液膜厚度測量點分為A、B、C、D組,如圖3(b)所示,兩組之間的間距為20mm,將同一位置10次測量結果的算術平均值作為膜厚度。
h的計算方法見式(30)。
式中,n為測量次數,n=10;hi是測量10次液膜厚度的平均值。
噴淋密度Γ計算方法見式(31)。
式中,m為流入布液器的質量流量;W為銅板的寬度。
液膜雷諾數Re計算方法見式(32)。
2.3不同物性
能夠在壁面上完全鋪展的液膜不僅僅與壁面的結構和潤濕性有關,還與液體本身的物性有著密切關系。較高的黏度會導致液膜在流動過程中變得更加穩定且不容易破裂,使得液膜的分布相對均勻;表面張力會改變壁面上液膜的潤濕性,從而影響液膜在壁面上的鋪展能力。因此,深入探討不同物性對液膜分布的影響,具有重要的理論意義和實際應用價值。在實驗中工作液體包括去離子水、乙二醇、丙二醇。工作液體的性質,如表1所示。同時溫度的變化將直接影響液體的黏度和表面張力,隨著溫度的升高液體分子的動能也隨之增強,分子間的相互作用減弱,黏度和表面張力都將減小,進而影響液膜的形成和鋪展,不同溫度下去離子水的性質,如表2所示。
表1在20℃下不同工作液體的性質
表2不同溫度下去離子水的性質
3結果與討論
3.1數學模型驗證
通過合理的假設,建立了一個三維數學模型來預測傾斜壁面上的液膜流動特性。圖4是在入口溫度為20℃和壁面傾斜角度為15°時,不同Re的液膜厚度的對比曲線。本文將實驗測得的液膜厚度與文獻中報道的用于預測水平圓管和傾斜平板上液膜厚度的經驗公式進行了比較,同時還將Nusselt提出的經典液膜厚度公式和本文建立的數學模型計算結果進行了對比分析。隨著雷諾數的增大,無論是實驗數據、理論公式還是模型計算,所得的液膜厚度均逐漸增加,且實驗結果的平均值與Nusselt理論具有良好的一致性。圖4中的放大圖進一步顯示,模型計算結果與Nusselt理論所得結果非常接近,這主要是因為模型計算中采用了Nusselt理論作為迭代初值。然而,模型計算值始終略小于Nusselt理論值,這是由于在式(17)中考慮了蒸發質量通量Js。在絕熱條件下,模型計算包含了一項蒸發質量通量的影響,從而導致計算的液膜厚度略低于Nusselt理論預測值。這一差異表明,在實際條件下,蒸發效應對液膜厚度的影響不可忽略,模型的引入使計算更加貼近實際。
圖4液膜厚度對比
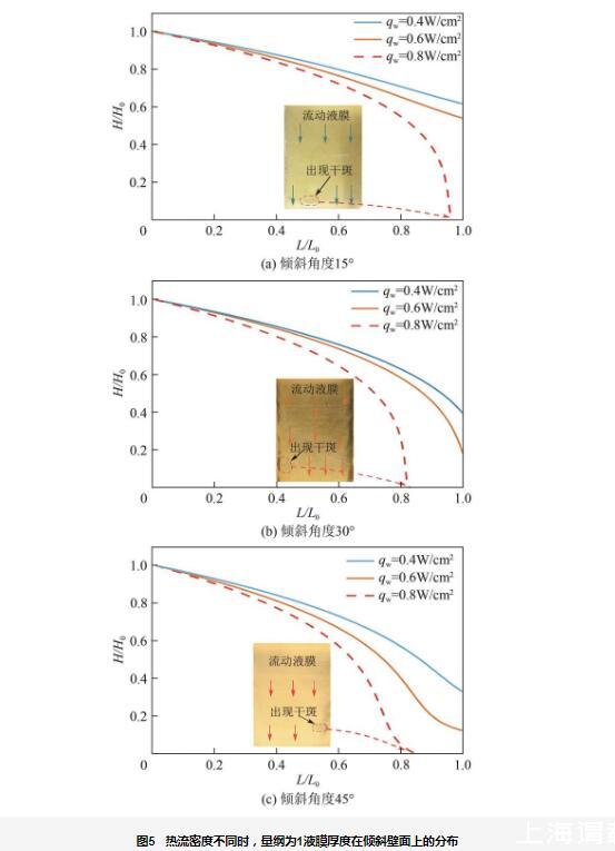
圖5所示的數學模型中,壁面傾斜角度分別為15°、30°和45°,噴淋密度為0.016kg/(m·s)、0.03kg/(m·s)和0.04kg/(m·s),入口溫度為70℃。通過施加不同的熱流密度加熱壁面,模型計算得出了量綱為1液膜厚度在傾斜壁面上的分布情況。結果顯示,當熱流密度qw=0.8W/cm2時,不同傾斜角度下的壁面上量綱為1液膜厚度均逐漸減小,最終降至零,出現了燒干現象。同時,模型計算結果與實驗結果相符,干斑位置均出現在壁面底部,這一現象的產生不僅是由于蒸發的作用,還與熱毛細效應密切相關。在加熱過程中,熱毛細效應促進了液膜表面張力的變化,使得液膜的穩定性減弱,導致液膜局部破裂。隨著蒸發效應的增強,液膜厚度逐漸減小,特別是在液膜的薄弱區域,蒸發速率提高,導致液膜厚度進一步減小,最終在底部區域發生破裂。因此,干斑通常出現在壁面底部,這進一步驗證了實驗結果與數學模型計算之間的良好一致性,并表明所建立的數學模型能夠有效預測液膜在傾斜加熱壁面上的流動行為和燒干現象。
圖5熱流密度不同時,量綱為1液膜厚度在傾斜壁面上的分布





