合作客戶/
拜耳公司 |
同濟大學 |
聯合大學 |
美國保潔 |
美國強生 |
瑞士羅氏 |
相關新聞Info
-
> 仲醇聚氧乙烯醚硫酸鹽平衡和動態表面張力及應用性能研究(三)
> 納米沸石咪唑酯骨架ZIF-8顆粒的油水界面張力和接觸角測定及巖心驅替實驗——摘要、材料與方法
> 棕櫚酸酯淀粉糊液理化性質及替代洗衣粉配方中的LAS去污系數研究(一)
> 酚胺樹脂聚醚型破乳劑分子結構、濃度對油-水界面張力的影響——結果與討論、結論
> 固體、鹽溶液表面張力測量及與其在潔凈硅橡膠表面接觸角的關系研究(二)
> 什么是超微量天平,超微量天平使用方法、最小稱量值
> Sb合金元素對鋅液與X80鋼表面張力、潤濕性及界面反應的影響——實驗
> 海上抗超高溫低滲透儲層鉆開液配方設計及應用效果(二)
> 溫度及壓強對CO2-NaCl鹽水系統界面張力的影響(三)
> 超微量天平應用案例:鉛試金富集稱量法測定含銅物料中金和銀含量
推薦新聞Info
-
> 表面張力在封閉腔體自然對流換熱中的角色深度分析
> 鉑金板法測定不同濃度、溫度、表面活性劑對氨水表面張力值(二)
> 鉑金板法測定不同濃度、溫度、表面活性劑對氨水表面張力值(一)
> 單萜萜類驅油劑界面張力、配伍性、降黏效果及破乳效果測試與篩選(三)
> 單萜萜類驅油劑界面張力、配伍性、降黏效果及破乳效果測試與篩選(二)
> 單萜萜類驅油劑界面張力、配伍性、降黏效果及破乳效果測試與篩選(一)
> 紫檀芪的穩定性增強型抗氧化劑制作備方及界面張力測試——結果與討論、結論
> 紫檀芪的穩定性增強型抗氧化劑制作備方及界面張力測試—— 引言、材料與方法
> 香豆素取代二乙炔LB膜的組裝、聚合及螺旋結構形成機制(下)
> 香豆素取代二乙炔LB膜的組裝、聚合及螺旋結構形成機制(中)
咪唑類離子液體對不同煤塵潤濕性能的影響規律(下)
來源:礦業安全與環保 瀏覽 1084 次 發布時間:2024-08-28
2.3不同煤種的活性水溶液鋪展系數
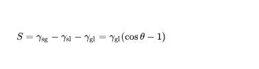
當溶液滴到煤表面,溶液底部接觸到煤表面后逐漸在煤表面鋪散開來的過程叫作鋪展。鋪展系數是表征溶液在煤表面的鋪展能力,鋪展系數越大,潤濕性越強,其計算公式如下:
(1)
式中:S為鋪展系數,mN/m;γsg、γsl、γgl分別為氣—固表面張力、液—固表面張力、氣—液表面張力,mN/m;θ為離子液體與煤塵表面的接觸角,(°)。
根據不同煤種的接觸角擬合得出鋪展系數與活性水溶液質量分數的關系,如圖4所示。
圖4鋪展系數與溶液質量分數之間的關系
從圖4可以看出:
1)3種咪唑類離子液體的鋪展系數先隨溶液質量分數的增大而迅速增大;當質量分數增加到一定程度后,鋪展系數逐漸趨于平穩。這是由于離子液體能夠破壞煤的物理化學結構,隨溶液質量分數的增大,煤表面越發粗糙,孔隙和裂紋數量也隨之增加,而煤表面孔隙和裂紋越多,則鋪展效果越好;當煤體被完全破壞后,溶液在煤表面鋪展隨質量分數繼續增大變化不大,即鋪展系數逐漸趨于穩定。
2)[Emim][BF4]溶液的鋪展系數明顯大于其他2種溶液,即[Emim][BF4]溶液在煤表面更易于潤濕鋪展。這是因為離子液體可以改變煤中官能團含量,[Emim][BF4]溶液的加入可以更高效地增加煤中親水性官能團含量,減少疏水性官能團含量,提高其在煤表面的鋪展能力。
3.不同煤種的高效離子液體水溶液復配研究
為探究離子液體復配是否會起到增效的作用,即復配溶液對煤的潤濕性能是否優于單一溶液。取質量分數為2%的3種離子液體按照陽、陰離子不同復配成A、B 2組活性水溶液,復配質量比為6∶0、5∶1、4∶2、3∶3、2∶4、1∶5、0∶6;分別對A、B 2組活性水溶液進行表面張力和接觸角試驗,研究復配溶液對煤的潤濕效果。
3.1復配溶液離子數對表面張力的影響
不同復配質量比下A、B 2組復配溶液的表面張力變化情況如圖5所示。
圖5不同復配質量比下溶液表面張力變化情況
從圖5可以看出:
1)與純水相比,復配后的A、B 2組溶液的表面張力顯著降低,A組復配溶液的表面張力隨不同復配質量比變化不大,B組復配溶液的表面張力易受復配質量比變化的影響。
2)相同陽離子[Bmim][BF4]和[Bmim][Cl]復配溶液,表面張力[BF4]-略大于[Cl]-,說明在同種陽離子的情況下,[Cl]-的表面活性優于[BF4]-,這是因為[Cl]-的電負性更強,能夠增強液體氫鍵強度,減弱陰陽離子間庫侖力作用,故而表面張力減小。
3)相同陰離子復配溶液的表面張力小于相同陽離子復配溶液的表面張力,當相同陰離子復配溶液的復配質量比為2∶4時,表面張力達到最低值27.62 mN/m,且其表面張力均低于2種單一溶液的表面張力,說明該復配溶液的潤濕效果最好。推測相同陰離子復配溶液中,不同的兩陽離子之間可能產生了協同增潤作用。
3.2復合離子液體對煤塵接觸角的影響
圖6為A、B組復配溶液與3種煤樣接觸角的對比圖,不同煤樣吸液時間變化情況如圖7所示。
圖6不同陽、陰離子復配溶液的接觸角變化情況
圖7不同煤樣的吸液時間變化情況
從圖6、圖7可以看出:
1)與純水相比,復配后的A、B 2組溶液的接觸角明顯降低,對于焦煤、褐煤、長焰煤,B組溶液復配質量比為2∶4時接觸角降低最多,分別為31.131%,27.969%、14.713%;對于焦煤,A組溶液復配質量比為6∶0時接觸角降低最多,為26.452%,對于褐煤、長焰煤,A組溶液復配質量比為1∶5時接觸角降低最多,為25.982%、20.026%。
2)對于3種煤樣,當復配質量比由6∶0變化到4∶2時,B組復配溶液吸液作用增強,推測此時[Emim]+發揮主要作用,其中某些基團可能破壞了煤活性結構,增大B組復配溶液對煤的溶解度;但隨著復配質量比由4∶2變化到0∶6時,A組復配溶液吸液作用增強,這可能是因為與[BF4]-比較,Cl-的親水能力更強,易于形成結合水,提高活性水的潤濕能力,推測此時Cl-發揮主要作用,Cl-含量不斷增加,活性水對煤塵的潤濕能力不斷增強。
4.結論
1)添加離子液體后,隨著活性水溶液中離子液體質量分數增大,表面張力和接觸角迅速減小,陰離子[BF4]-比[Cl]-對煤樣的潤濕作用能力更強,陽離子[Emim]+比[Bmim]+對煤樣的潤濕作用能力更強;
2)3種咪唑類離子液體的鋪展系數隨離子液體質量分數的增大而迅速增大,長焰煤的親水能力最好,而焦煤的親水能力最差,這與煤中親水基團和疏水基團的含量有關;
3)相同陰離子的復配溶液潤濕性優于相同陽離子的潤濕性,相同陰離子復配溶液的復配質量比為2∶4時,表面張力達到最低值27.62 mN/m,對焦煤的接觸角降低最多,為31.131%;
4)在一定復配質量比范圍內,離子液體既可以通過破壞煤中官能團、共價鍵等,增強對煤塵結構的溶解能力,也可以通過降低水的表面張力,提高溶液的潤濕能力。





